把三相电源与三相负载按照一定的方式,用导线连接起来的电路就称为三相电路。
一、对称三相电路
对称三相电路: 三相电源、三相负载都对称、且端线的阻抗相等的电路。
对称三相负载: 三个相同负载(负载阻抗模、阻抗角相等)以一定方式连接起来。

三相负载的两种接法
对称三相负载的连接: 两种基本连接方式。
三相四线制: 指输送的电源相位为三相,用四根线路传输,其中三条分别代表A、B、C三相,最后一条为中性线N。
三相三线制: 三相四线制的基础上,把中线去掉,形成三相三线制。
二、对称三相电路的计算
对称三相电路的物理量的特征:
电源的物理量是对称的。
负载的物理量是对称的。
对称三相四线制线路:
中线上无电流,此时可以把中线去掉。(实际上的三相四线制电路负载往往不对称,故不能去掉中线)
对称三相电路负载上的相电压和线电压:
星形连接负载线电压大小是相电压的根号三倍,相位超前30°。(注意对应的概念)
角型连接负载线电压等于对应相电压。
对称三相电路负载上的相电流和线电流:
星形连接负载线电流和对应相电流相同。
角型连接负载线电流大小是相电流的根号三倍,相位滞后30°。(注意对应的概念)
备份:
星形连接的对称三相负载线电流和对应相电流相同,线电压大小是相电压的根号三倍,相位超前30°。角型连接的对称三相负载线电压等于对应相电压,线电流大小是相电流的根号三倍,相位滞后30°,星形连接的对称三相电源线电流与对应相电流相等,线电压的大小为相电压的根号三倍,相位超前30°,角型连接的对称三相电源线电压等于对应相电压,线电流的大小为相电流的根号三倍,相位滞后30°
三、 不对称三相电路计算
三相电源、三相负载,以及对应端线阻抗,只要有一部分不对称,就叫不对称三相电路。
主要讨论: 电源对称,负载不对称。
此节不深入。
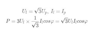
四、三相电路的功率(三相负载)
对称三相电路有功功率:
星接:

角接:

星接和角接表达式相同,其中,相位差是指相电压与相电流的相位差。
非对称三相电路式子上不能直接乘3,而要计算每一相,然后相加。
对称时三相负载的瞬时功率与有功功率: 三相负载总的瞬时功率等于三相负载总的有功功率。
备份:
一般来讲,瞬时功率是与时间有关的。但在对称三相电路中,三相负载总的瞬时功率与时间无关,且恰好等于三相负载总的有功功率。PS:有功功率一定是个常量,与对称不对称无关
无功功率:

三相功率的测量
一表法、二表法、三表法。
一表法测对称三相电路:
用一个功率表测量其中一相功率,将读数乘三即三相总功率。
非对称的情况下要测量三次。

一表法测对称三相电路
二表法测量三相电路:
将两个功率表的电流线圈接到任意两条端线上,而将其电压线圈的公共点接到第三条端线上。
二表法是一定、确定以及肯定可以用来测量三相三线制电路(无论电路是否对称)中三相负载的总的有功功率的。但是单个表的读数是没有明确的物理含义(即不对应某相负载的有功功率)。


三表法测量三相电路:
接法如下图。
三表法是一定、确定以及肯定可以用来测量三相四线制电路(无论电路是否对称)中三相负载的总的有功功率的。但是单个表的读数是有明确的物理含义的(即对应某相负载的有功功率)

备份:
reference1 :
三表法则适用对称与不对称三相四线制三相电路
两表法则适用对称与不对称三相三线制三相电路
三表法简易接法时,每个表的读数为对应相负载的功率,有明确的物理意义
而其他接法及两表法接线时,单个表的读数无直接的物理意义,只有各功率表的代数和才表示三相平均功率。
reference2:
三相四线制用三表法,表的终端都接在中线上,三个表的示数相加等于三相四线电路的总功率,三相四线制用二表法,表的终端都接在同一条端线上,两个表的代数和为三相三线电路的总功率,每个表的单独读数是无意义的,二表法不适用于不对称三相四线制电路。